连续箱梁临时固结支墩爆破拆除技术
发布时间:2018-04-26 16:31:43 阅读次数:次
王军辉 杨威 李程远
(武警水电第二总队五支队,江苏常州,213135)
摘要:杭长客运专线跨上瑞高速公路特大桥主桥为三跨连续箱梁,采用挂篮恳臂施工,其临时固结支墩由四根混凝土支墩组成。临时支墩常规拆除方法需高空作业,难度大、时间长、安全风险高,甚至会因各个支墩拆除不同步而造成箱梁底标高偏差。本文通过研究跨上瑞高速公路特大桥连续箱粱临时固结支墩结构特点、作业条件、周边环境,选定爆破拆除方法。通过初拟爆破参数.多次爆破试验,逐步甄选出最适合现场实际条件的爆破参数和最佳防护措施,实现了安全、优质、快速拆除,并将爆破作业对上瑞高速公路的不利影响降到最低,取得较好效果。实践证明,悬浇箱梁临时固结支墩爆破拆除方法,具有安全可靠、对主体结构危害小、破碎效果好、拆除速度快等优点,为类似工程提供了可贵的参考经验,具有广泛的推广价值。
1概述
杭长客运专线跨上瑞高速特大桥位于江西省分宜县境内,横跨上瑞高速公路。主桥为三跨连续箱粱,主跨100m。采用挂篮悬臂施工,其临时固结支墩由四根混凝土支墩在墩梁间四周连接组成,支墩平面尺寸为1.5m×1.5m,混凝土强度等级为C50,高度比永久性支座高5mm。锚固钢筋采用Ф28mm螺纹钢,通长设置,埋入承台1.2m,梁体内1.0m,共计50根,如图1所示。

每根临时支墩待桥梁合龙前需进行拆除,其常规拆除方法是先人工凿除临时支墩顶部10cm范围内的混凝土,然后用气割割断各锚固钢筋的方法。但是此方法作业时间长、耗时费力,工期无法保障,且属高空作业,施工非常困难,有时甚至会因拆除临时支墩不同步而造成箱粱的标高出现偏差。为此,施工中采用了爆破拆除方案。
2爆破设计方案
2.1爆破特点
(1)钢筋比较密集,并且采用的是Ф28mm的粗钢筋。
(2)混凝土强度高,其实际强度已达60MPa
(3)跨上瑞高速特大桥8号、9号墩位于上瑞高速公路两侧,公路为双向四车道,车辆来往频繁,且公路两侧有架立电线和电缆线,爆破环境复杂,因此对爆破方法的安全性和可靠性要求较高。
(4)施工中需确保箱梁与临时支墩连接处不过度损坏,确保周围建筑、管线和人员安全,且应确保高速公路通行安全。
2.2爆破设计原则
为了严格控制爆炸能量和爆破规模,使爆破振动影响区域、破碎物的散落范围等控制在规定限度以内,采用毫秒做差爆破。通过采用低威力、低爆速的炸药,选择或制造较多的临空面,多钻孔,少药量,选取最佳的微差间隔时间和起爆顺序,达到“破散不抛”、“就近坍落” 的效果。
2.3炸药选用
选用SB型乳化炸药,爆速4150m/s,殉爆距离9cm,临界直径13cm,SB型乳化炸药爆炸性能好,爆轰感度高而机械感度低,成本低廉。
2.4爆破参数初拟
2.4.1 不耦合系数
采用手风钻钻孔,炮眼直径dk为42mm,炸药直径dt为18mm,故不耦合系数D=dk/dt=2.39。
2.4.2周边眼间距
周边眼间距E取炮眼直径的8~12倍,取为52cm。
2.4.3抵抗线
理论和实践均证明爆破炮眼间距E与最小抵抗线形之比取0.8为好,即E/W=0.8,这样得到W=65cm,因此炮孔间距取为65cm。
2.4.4炮眼装填系数
炮眼装填系数计算公式如下:

式中β——爆破炮眼装填系数;
ζ——支墩混凝士抗剪强度,kg/cm2;
σe——支墩混凝土抗拉强度,kg/cm2;
σc——支墩混凝土三轴抗压强度,kg/cm2;
dk——炮眼直径,cm;
L——炮眼深度,取为115cm。
2.4.5单孔装药量初始值的计算
单孔装药量初始值的计算公式如下:

式中QK——单孔装药量,g;
dt——炸药直径,cm;
ρo——炸药的密度,g/cm3;
其他符号说明同前。
2.5爆破试验
结合施工生产进行爆破试验,每次爆破使用一排钻孔,试验完成后再在该支墩上进行第二排爆破孔的钻孔,进行第二次试验,直至试验完成。
2.5.1 第一次爆破试验
按照计算装药量对第一个背靠高速公路的支墩进行钻孔与爆破,爆破结果显示,仅能将混凝土炸松,无法形成抛掷效果,钢筋仅发生变形,并未脱离支墩。
试验结果表明,爆破参数不合理,主要原因是在计算过程中未考虑钢筋对混凝土的影响,解决方案为增加装药量或减小钻孔间距。
由于此处临近高速公路,为防止爆破飞石,决定采用减小钻孔间距的方法再次进行试验。
2.5.2第二次爆破试验
将钻孔间距由理论计算的65cm调整为40cm,装药量不变,爆破结果显示,临时支墩混凝土已经全部碎裂,钢筋向外弯曲10°~15°,但同样未形成抛掷效果。
试验结果表明,临时支墩的钢筋布置过密(10~12cm),直径过粗(主筋28mm,箍筋16mm),导致其对混凝土的包裹作用远大于混凝土本身的抗爆作用。为此,调整爆破钻孔间距至20cm再次进行爆破试验。
2.5.3第三次爆破试验
按照钻孔间距20cm,单孔装药量210g进行爆破,爆破结果较为理想,钢筋弯曲15°~30 °,支墩形成完整爆破漏斗,爆破抛掷作用明显,飞石距离30~50m。
因此以本次的爆破试验参数用于正式的爆破施工中,钻孔间距20cm;孔排距按照爆破试验结果应该为16cm,但考虑到安全因素,采用弱抛掷爆破,将排距调整为20cm。由于单根乳化炸药的重量为200g,若采用210g的单孔装药,药量难以控制,调整为200g,分4节,每节50g,平均布置在单孔内。
3炮孔布置与装药联网
每根临时支墩炮孔成三角形对称布置(如图2所示),分5排,每排间距10cm,最上一排距离墩顶25cm,孔距20cm,孔径3.8cm,孔深1.15m。炮孔采用YT20手风钻凿孔,当遇到钢筋时,稍微调整,整体距离不足时,可以减少一排钻孔,即减少一个5号钻孔。
采用乳化炸药,每个炮孔内装药200g,将炸药平均分成四节等间隔绑在竹片上缓缓送人孔内,每节通过导爆索连接,如图2所示。由此每根临时支墩实际装药量为Q=200×12=2400g。

采用普通毫秒延期电雷管起爆,为减少地震波对桥墩和箱梁的影响,根据孔位不同分别绑上l段、3段、5段毫秒雷管以控制起爆顺序。同一个桥墩的四根临时支墩同时爆破,段位成对称布置,每根临时支墩采用先两侧后中间的顺序,各段延期时间见表1。爆破网路采用串联网路,起爆电源使用专业MFB-200型起爆器。

4安全检算与安全防护
4.1 爆破质点振动速度
爆破质点振动速度按下式进行估算:

式中 v一一建筑物质点振动速度,mm/s;
K一一与混凝土强度、爆破方法、爆破条件相关的系数;
Q——最大一段装药量,kg;
R——自爆源到被保护建筑物的距离,m;
α——爆破地震波随距离的衰减指数。
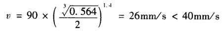
对于本爆破工程,K=90,Q=0.564kg,R=2m,α=1.4。
由此可得

根据《爆破安全规程》,坚固的混凝土构筑物的振速临界值是40mm/s,因此其爆破振动不会对周围箱梁、墩身和其他建筑物造成损坏。
4.2安全防护措施
4.2.1 正面防护
面对高速公路方向,距离高速公路仅20~30m,为重点防护对象,采用双层柔性防护措施(如图3所示)。 柔性防护材料有塑料篷布外包密目铁丝网制作而成,分别悬挂在距离临时支墩2m和5m的位置,形成二重防护体系,防护高度为箱梁底面至爆破区域一下3m的范围。

4.2.2侧面防护
侧面距离高速公路较远(40~60m),采用单层柔性防护措施,柔性防护材料、防护范围与正面防护相同。
4.2.3公路防护棚加上的防护
由于悬臂施工在高速公路上搭设了防护棚架,这项措施使得可以在防护棚架上采取措施,增加防护的效果。在距离路面上1.5m范围内,采用刚性防护,防护材料为木模板,其作用是防止碎石滚入公路区域。在距路面1.5m以上至防护棚架顶,采用单层柔性防护网,柔性防护材料与正面防护相同。
5爆破效果和结语
跨上瑞高速特大桥共2座主墩,8根临时同结支墩,分两次爆破。爆破时混凝土约l/2粉碎飞出,无遮挡下飞石范围在20m以内,无大块飞石,塑料篷布遮挡范围无飞石穿透;剩余混凝土约1/4就地坍落,约l/4破碎松动,锤击即可敲落。爆破后对周围箱梁、墩身、盆式支座均无损坏。爆破效果良好。爆破防护效果如图4所示。

临时固结支墩爆破方法的关键在于根据具体情况调整相应的布孔方式、装药量和起爆网路,以确保在安全的前提下,达到最佳的爆破效果。
临时固结支墩爆破拆除方法具有破碎效果好、拆除速度快的特点,可以节省人力物力,缩短工期,保证体系转换的质量,且保证了跨上瑞高速特大桥按计划日期合龙,值得推广应用。
参考文献
[1]刘殿中,等.工程爆破实用手册[M].2版.北京:冶金工业出版社,2003.
[2]吴静,宋正利,等.桥梁钢筋混凝土墩柱爆破拆除技术[J].建筑技术,2005,36(6):429~430.
[3]方明山,冯运增,黄志军,等.褒河公路大桥拆除定向爆破施工技术[J].爆破,2004,2l(2)68~70.
[4]孟祥军.控制爆破在泉港分洪闸工程中的运用[J].水力发电,2003,29(5):65~66.
[5]刘玲平,唐涛,李萍丰,等.装药结构对台阶爆破粉矿率的影响研究[J].采矿技术,2010(1) 67~70.
[6]中国工程爆破协会.GB 6722—2003爆破安全规程[S].北京:中国标准出版社,2004.




